

E54-24LD12D毫米波雷达模组是亿佰特设计的高精度多目标轨迹识别毫米波雷达模组,包含极简化24GHz毫米波传感器和智能算法固件,搭载AIoT毫米波传感器、高性能24GHz一发二收天线和外围电路;主要应用在家庭、办公和酒店等普通室内场景,实现对单个或多个人体的定位、轨迹跟踪。
E54-24LD12D 高精度多目标轨迹识别毫米波雷达模组广泛应用于各种 AIoT 场景,涵盖以下类型:
l 智能家居:感知人体的距离和角度,上报检测结果,以供主控模块智能控制空调、风扇等家电运行。
l 智能商业:位置感应,在设置的位置区间内识别人体接近或远离,及时点亮或者关闭屏幕。
l 卫浴:智能马桶准确控制马桶盖自动开关。
l 智慧照明:识别和感知人体,精确位置检测,可用于家庭照明设备(感应灯、台灯等)。
高精度多目标轨迹识别毫米波雷达模组采用FMCW波形,结合专有的雷达信号处理和内置智能定。
本通信协议主要供需脱离上位机演示工具进行二次开发的用户使用。E54-24LD12D 模组通过串口(TTL 电平)与外界通信,雷达串口默认波特率为 256000bps,1 停止位,无奇偶校验位。
E54-24LD12D毫米波雷达模组的数据通信使用小端格式,以下表格中所有数据均为十六进制。
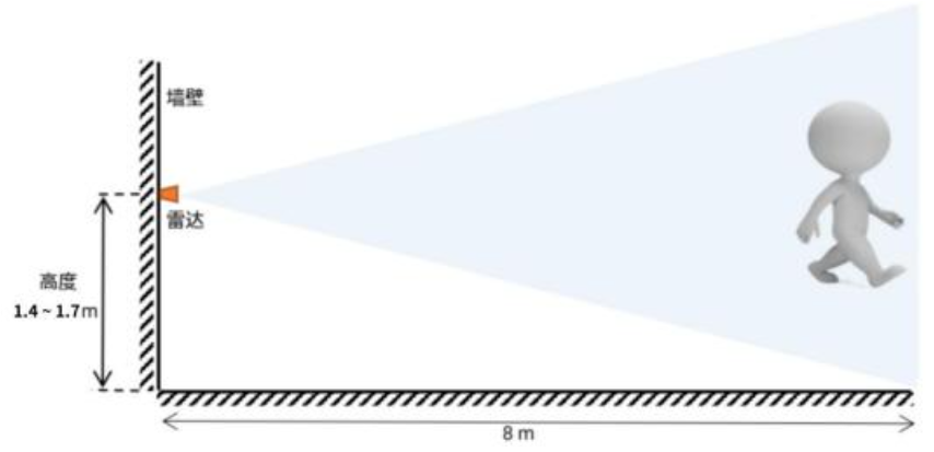
E54-24LD12D毫米波雷达模组典型的安装方式为挂壁安装,如图 6-1所示,最远定位跟踪距离为8m。挂壁安装需要考虑应用场景中的遮挡以及顶部的干扰物,建议安装高度范围为 1.4~1.7m。

图6-1 挂壁安装示意图
挂壁安装时,推荐雷达安装姿态如图6-2(a)和(b)所示。雷达天线平面法线向为 0 °。

图6-2 雷达挂壁安装角度辨别
图6-3展示了挂壁高度 1.5m 时本定型设计的定位跟踪范围,测试人员身高 1.75m,中等身材。挂壁安装时,E54-24LD12D探测角度范围是以雷达天线平面法向为中心的±60 ° ;法线方向最大探测距离可达8m。

图6-3 雷达挂壁安装时跟踪范围示意图
如果雷达需要安装外壳,则外壳必须在24GHz 频段具有良好的透波特性,且不能含有金属或对电磁波有屏蔽作用的材料。更多注意事项请参阅亿佰特《毫米波传感器天线罩设计指南》。
本产品需要安装在合适的环境中,如在以下环境中使用,检测效果将受到影响:
l 感应区域内存在持续运动的非人物体,如动物,持续摆动的窗帘和正对风口的大株绿植等;
l 感应区域内存在大面积强反射平面,强反射物正对雷达天线会造成干扰;
l 挂壁安装时,需要考虑室内顶部的空调、电风扇等外部的干扰因素。
l 尽量保证雷达天线正对要检测的区域,且天线四周开阔无遮挡,检测区域相对空旷。
l 要保证传感器的安装位置牢固、稳定,雷达本身的晃动将影响检测效果。
l 要保证雷达的背面不会有物体运动或震动。由于雷达波具有穿透性,天线背瓣可能会检测到雷达背面的运动物体。可以采用金属屏蔽罩或者金属背板,对雷达背瓣进行屏蔽,减弱雷达背面物体造成的影响。
l 存在多个24GHz 频段雷达时,请不要安装在波束正对方向,安装位置尽量远离,以避免可能的相互干扰。
雷达默认串口波特率256000bps。
注意:波特率设置得较低时,雷达上报一帧数据的用时会变长,为了防止数据在上报过程中被覆盖修改,建议将数据上报间隔相应延长。
请注意,由于目标人体的体型、状态和雷达散射截面(RCS)等因素的差异,测距精度、最远测距以及角度精度都会有一定波动。
在特定应用场景下,需要雷达在人体目标静止之后仍能保持在一定时间内追踪目标而不丢失,这个时间即为目标保持时间,默认值为37 秒。
电源输入选择:传感器支持 DC 3.6V~5V 的电源输入,请参考产品手册硬件说明部分以获取详细信息。
电磁兼容设计:在开发过程中,开发者需充分考虑电源的电磁兼容性设计,包括静电放电(ESD)防护和雷击浪涌防护等,以确保传感器的稳定运行。
以上就是E54-24LD12D毫米波雷达模组安装使用指南,下文我们将介绍E54-24LD12D毫米波雷达模组上位机配置使用教程。
今天的分享就到这里啦,EBYTE每一天都致力于更好的助力物联化、智能化、自动化的发展,提升资源利用率,更多毫米波雷达模组和无线数传设备应用案例资料信息,感兴趣的小伙伴可以登录我们的亿佰特官网进行了解,也可以直接拨打400电话咨询技术专员!
相关阅读:
2、E54-24LD12A毫米波雷达模块功能和常见应用方案测评
7 X 24 销售服务热线
4000-330-990©© 成都亿佰特电子科技有限公司【版权所有】 蜀ICP备13019384号


